- 液位儀表系列
- 流量儀表系列
- 物位儀表系列
- 壓力/液位/差壓/密度變送器
- 液位/溫度/壓力/流量-報警儀
- PLC/DCS自動化控制監控系統
- GPRS無線遠傳裝置
- 物位儀表系列
- 有紙/無紙記錄儀系列
- 溫度儀表系列
- 分析儀|檢測儀|校驗儀系列
全國銷售熱線:400-9280-163
電話:86 0517-86917118
傳真:86 0517-86899586
銷售經理:1560-1403-222 (丁經理)
??? ? ? ? 139-1518-1149 (袁經理)
業務QQ:2942808253 / 762657048
網址:http://m.tiansocks.com
電話:86 0517-86917118
傳真:86 0517-86899586
銷售經理:1560-1403-222 (丁經理)
??? ? ? ? 139-1518-1149 (袁經理)
業務QQ:2942808253 / 762657048
網址:http://m.tiansocks.com
差壓式液位計測量氨罐液位時如何做到精確測量
發表時間:2020-05-19 ??點擊次數:899? 技術支持:1560-1403-222
針對法蘭式差壓液位計在氨罐液位測量過程中,存在液氨密度受溫度、壓力的影響所帶來測量誤差,在分析誤差產生的原因后,提出線性插值法進行溫度補償的解決辦法。在此基礎上,利用集散控制系統軟件提供的二維折線表,首先實現密度-溫度的分段線性處理,在準確求出液氨密度后,進一步利用液位-密度之間的關系算出氨罐液位.經調試運行,此測量方案在液氨測量過程中,在不增加成本的前提下,具有測量精度高、響應速度快、可靠性高、經濟性好等優點。
1 引言
雙法蘭差壓式液位計在氨罐液位測量過程中,液氨密度易受溫度的影響且液氨密度隨溫度呈非線性變化,液氨密度和溫度之間的關系可查閱相關手冊[1]。如果不考慮密度變化的因素把液氨密度作為一個常數處理必定會帶來測量誤差,嚴重的時候,由密度變化帶來的測量誤差達到1%以上,為***測量氨罐液位,姚玉鳳、王偉等人提出了在0-30℃范圍內近似線性化液氨密度-溫度之間的關系,經線性化回歸處理,液氨密度ρ=0.639-0.00415t[2-3], 據此對液氨密度進行溫度補償。在此基礎上,本文提出利用插值法對液氨密度-溫度分段線性化,可利用DCS軟件提供的二維折線表,***多分成10 段進行線性化處理,可得到更好的線性化處理效果,從而取得更高的測量精度。
2 雙法蘭差壓式液位計在氨罐液位測
量過程中的系統誤差分析
根據靜壓公式,圖1 所示液氨液位H 可按根據式
(1)算出

H 液氨液位,ρ0表示毛細管填充液密度,h2表示上下
雙法蘭的高度差,ρ表示液氨密度。
由式(1)可知,液位測量精度包括:
A.介質密度ρ的變化帶來的誤差;
其中,毛細管中氟油或者硅油密度受環境溫度影響較小,所帶來的測量誤差可忽略不計,因此液氨液位測量誤差主要包括差壓變送器的誤差和液氨密度變化所帶來的誤差。根據現在的制造水平,差壓變送器的測量誤差很小,因此,雙法蘭差壓式液位變送器的測量誤差主要取決于介質密度的變化帶來的誤差。
B.毛細管填充液(氟油或者高溫硅油)密度的變化帶來的誤差;
C.差壓變送器測量誤差。
3 液氨密度和壓力、溫度之間的關系
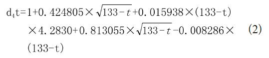
液氨壓力對密度的影響主要通過壓力P0影響溫度來體現,故液氨密度主要考慮溫度因素,在-50℃至50℃范圍內,液氨的相對密度d4t和溫度t之間的關系見式(2):

根據(2)式可知,液氨密度和溫度之間呈非線性關系,在測量過程中,如果把液氨密度作為常數來處理,必然會帶來測量誤差。
4 液氨密度的溫度補償
為減小測量誤差,提高測量精度,在測量過程中必須考慮對密度進行溫度補償,方法主要有下列兩種。
4.1 利用式密度-溫度表達式完成溫度補償
嚴格按照表達式(2)進行溫度補償,在DCS 測控系統中,利用加減乘除及開方模塊完成1-1 表達式對密度進行修正達到從而達到溫度補償的目的。這種方法補償精度高,但是計算量大,會大量占用計算機的CPU模塊資源。
4.2 利用DCS折線表完成溫度補償
折線表利用完成溫度—密度補償時,可把溫度—密度的非線性曲線近似分為10 段直線,在測出溫度后,可利用插值法求出相應的密[7]。DCS組態如下:
查閱設計手冊確定0—30℃范圍內液氨溫度—密度對照表1[1]。根據表1 所示溫度—密度關系表可在DCS 組態軟件中生成液氨溫度—密度折線表如圖2。

圖2 中,X 表示某一溫度占總量程的百分比,Y 表示某一溫度對應的密度。假設溫度檢測儀表的測量范圍為0—50℃,3℃為量程的6%,其對應的數值為0.06,按照表1 所示3℃時,其對應密度為0.634451Kg/L。故輸入X為0.06時,對應的密度Y為0.63445。把液氨溫度(0-30℃)分成10 段(0℃,3℃,6℃…30℃),其對應為量程的0% ,6%…60%轉換為0.1,0.06…06。再按上述方法填寫對應的密度。即可得序號為0 的折線表二維折線表。
在生成折線表后,通過控制算法組態完成折線表組態如圖3。圖3 中X 端輸入位號TI_101.PV 表示液氨溫度傳感器在DCS主控卡中對應輸入映像寄存單元,0 折線表序號,DT_101為自定義變量。完成折線表組態后,DCS將采集到液氨溫度的動態數據進行線性插值處理后的結果(密度)保存到自定義變量DT_101 中。

在液氨密度完成溫度補償后,可進一步調用算法模塊完成(1)式所示算法,即可算出液位高度H。
5 結束語
歸一化處理,是在整個量程范圍內把溫度—密度非線性曲線近似為一根曲線,而利用二維折線表把把溫度—密度曲線分為10 段進行線性化處理,故可以取得更好的線性化效果,從而有效降低溫度變化帶來的液位測量誤差。在實際應用過程中,還可根據液氨的實際存藏溫度確定補償溫度范圍(如20-35℃),在縮小補償溫度范圍后,線性化效果會更好。此外,無論是常溫還是常壓下存藏,都可利用二維折線表對液氨密度進行溫度補償。從測量的介質來說,除液氨外,對于甲醇等密度易受溫度影響液體液位測量都可以采用二維折線表進行密度補償。從成本的角度來說,在保障測量精度的基礎上,按照目前的市場行情,在相同的測量效果的情況下,采用雙法蘭差壓式液位計在比常用的磁滯伸縮液位計價格低25%左右,因此具有良好的經濟性。
上一條:采用兩段或多段方式安裝的遠傳磁翻板液位計輸出一個顯示值的方案介紹
下一條:靜壓投入式液位計安裝注意事項及日常維護與清洗步驟

1 引言
雙法蘭差壓式液位計在氨罐液位測量過程中,液氨密度易受溫度的影響且液氨密度隨溫度呈非線性變化,液氨密度和溫度之間的關系可查閱相關手冊[1]。如果不考慮密度變化的因素把液氨密度作為一個常數處理必定會帶來測量誤差,嚴重的時候,由密度變化帶來的測量誤差達到1%以上,為***測量氨罐液位,姚玉鳳、王偉等人提出了在0-30℃范圍內近似線性化液氨密度-溫度之間的關系,經線性化回歸處理,液氨密度ρ=0.639-0.00415t[2-3], 據此對液氨密度進行溫度補償。在此基礎上,本文提出利用插值法對液氨密度-溫度分段線性化,可利用DCS軟件提供的二維折線表,***多分成10 段進行線性化處理,可得到更好的線性化處理效果,從而取得更高的測量精度。
2 雙法蘭差壓式液位計在氨罐液位測
量過程中的系統誤差分析
根據靜壓公式,圖1 所示液氨液位H 可按根據式
(1)算出

H 液氨液位,ρ0表示毛細管填充液密度,h2表示上下
雙法蘭的高度差,ρ表示液氨密度。
由式(1)可知,液位測量精度包括:
A.介質密度ρ的變化帶來的誤差;
其中,毛細管中氟油或者硅油密度受環境溫度影響較小,所帶來的測量誤差可忽略不計,因此液氨液位測量誤差主要包括差壓變送器的誤差和液氨密度變化所帶來的誤差。根據現在的制造水平,差壓變送器的測量誤差很小,因此,雙法蘭差壓式液位變送器的測量誤差主要取決于介質密度的變化帶來的誤差。
B.毛細管填充液(氟油或者高溫硅油)密度的變化帶來的誤差;
C.差壓變送器測量誤差。
3 液氨密度和壓力、溫度之間的關系
液氨壓力對密度的影響主要通過壓力P0影響溫度來體現,故液氨密度主要考慮溫度因素,在-50℃至50℃范圍內,液氨的相對密度d4t和溫度t之間的關系見式(2):

根據(2)式可知,液氨密度和溫度之間呈非線性關系,在測量過程中,如果把液氨密度作為常數來處理,必然會帶來測量誤差。
4 液氨密度的溫度補償
為減小測量誤差,提高測量精度,在測量過程中必須考慮對密度進行溫度補償,方法主要有下列兩種。
4.1 利用式密度-溫度表達式完成溫度補償
嚴格按照表達式(2)進行溫度補償,在DCS 測控系統中,利用加減乘除及開方模塊完成1-1 表達式對密度進行修正達到從而達到溫度補償的目的。這種方法補償精度高,但是計算量大,會大量占用計算機的CPU模塊資源。
4.2 利用DCS折線表完成溫度補償
折線表利用完成溫度—密度補償時,可把溫度—密度的非線性曲線近似分為10 段直線,在測出溫度后,可利用插值法求出相應的密[7]。DCS組態如下:
查閱設計手冊確定0—30℃范圍內液氨溫度—密度對照表1[1]。根據表1 所示溫度—密度關系表可在DCS 組態軟件中生成液氨溫度—密度折線表如圖2。

圖2 中,X 表示某一溫度占總量程的百分比,Y 表示某一溫度對應的密度。假設溫度檢測儀表的測量范圍為0—50℃,3℃為量程的6%,其對應的數值為0.06,按照表1 所示3℃時,其對應密度為0.634451Kg/L。故輸入X為0.06時,對應的密度Y為0.63445。把液氨溫度(0-30℃)分成10 段(0℃,3℃,6℃…30℃),其對應為量程的0% ,6%…60%轉換為0.1,0.06…06。再按上述方法填寫對應的密度。即可得序號為0 的折線表二維折線表。
在生成折線表后,通過控制算法組態完成折線表組態如圖3。圖3 中X 端輸入位號TI_101.PV 表示液氨溫度傳感器在DCS主控卡中對應輸入映像寄存單元,0 折線表序號,DT_101為自定義變量。完成折線表組態后,DCS將采集到液氨溫度的動態數據進行線性插值處理后的結果(密度)保存到自定義變量DT_101 中。

在液氨密度完成溫度補償后,可進一步調用算法模塊完成(1)式所示算法,即可算出液位高度H。
5 結束語
歸一化處理,是在整個量程范圍內把溫度—密度非線性曲線近似為一根曲線,而利用二維折線表把把溫度—密度曲線分為10 段進行線性化處理,故可以取得更好的線性化效果,從而有效降低溫度變化帶來的液位測量誤差。在實際應用過程中,還可根據液氨的實際存藏溫度確定補償溫度范圍(如20-35℃),在縮小補償溫度范圍后,線性化效果會更好。此外,無論是常溫還是常壓下存藏,都可利用二維折線表對液氨密度進行溫度補償。從測量的介質來說,除液氨外,對于甲醇等密度易受溫度影響液體液位測量都可以采用二維折線表進行密度補償。從成本的角度來說,在保障測量精度的基礎上,按照目前的市場行情,在相同的測量效果的情況下,采用雙法蘭差壓式液位計在比常用的磁滯伸縮液位計價格低25%左右,因此具有良好的經濟性。
上一條:采用兩段或多段方式安裝的遠傳磁翻板液位計輸出一個顯示值的方案介紹
下一條:靜壓投入式液位計安裝注意事項及日常維護與清洗步驟
- 相關文章
-
- 80G 高頻雷達物位計液位計適用于泡沫和攪拌工況的原因分析 【2025-08-06】
- 80G高頻雷達液位計防腐防爆耐高溫的功能是如何實現的? 【2025-07-23】
- 高頻雷達液位計在石油行業液位測量應用中的優勢有哪些 【2025-07-17】
- 雷達液位計測量時如何有效規避攪拌葉片和泡沫的干擾? 【2025-07-07】
- 靜壓液位變送器型號 【2023-12-18】
- 壓力變送器輸出信號 【2023-12-26】
- 投入式液位變送器凋零 【2024-01-07】
- 電磁流量計在城市供水行業中的安裝配置及使用狀況分析 【2016-03-25】
- 液位變送器不顯示了 【2023-12-31】
- 壓力液位變送器分類 【2024-01-03】








