- 液位儀表系列
- 流量儀表系列
- 物位儀表系列
- 壓力/液位/差壓/密度變送器
- 液位/溫度/壓力/流量-報警儀
- PLC/DCS自動化控制監控系統
- GPRS無線遠傳裝置
- 物位儀表系列
- 有紙/無紙記錄儀系列
- 溫度儀表系列
- 分析儀|檢測儀|校驗儀系列
全國銷售熱線:400-9280-163
電話:86 0517-86917118
傳真:86 0517-86899586
銷售經理:1560-1403-222 (丁經理)
??? ? ? ? 139-1518-1149 (袁經理)
業務QQ:2942808253 / 762657048
網址:http://m.tiansocks.com
電話:86 0517-86917118
傳真:86 0517-86899586
銷售經理:1560-1403-222 (丁經理)
??? ? ? ? 139-1518-1149 (袁經理)
業務QQ:2942808253 / 762657048
網址:http://m.tiansocks.com
高位露天水箱液位計測量系統如何進行合理的防雷及相應處理措施
發表時間:2019-10-19 ??點擊次數:1389? 技術支持:1560-1403-222
分析了高位露天山頂水箱液位計 測量系統遭雷擊損壞的原因, 通過采用信號電涌保護器和電源電涌保護器等措施, 解決了系統容易遭雷擊損壞的難題。
用戶企業的生活用水系統設置有2 只水箱, 一只設置在汽機房的房頂, 標高45 m, 另一只設置在廠區的山坡上, 標高48 m。山頂水箱液位計 由裝在水箱上的投入式變送器進行測量, 變送器通過200 多米的鎧裝控制電纜與二次儀表聯接組成水位測量系統, 電纜未進行埋地敷設。每當雷雨天時, 山坡上的水箱液位計 變送器、綜合水泵房內的二次儀表常因雷擊而損壞, 采取鎧裝電纜鎧包接地、二次儀表接地等措施仍不能解決雷擊問題。
1 雷擊損壞原因分析
雷擊損壞儀表有2 種情況, 一種是直接雷擊到液位變送器或電纜上, 另一種是由于雷電電磁脈沖在測量系統的電纜上感應出高電壓而損壞測量系統。
山頂水箱雖然標高較高, 但不是在山的zui高點, 在離水箱100 多米處還有移動手機基站, 其標高高于水箱, 基站設有防直擊雷的避雷針, 水箱水位變送器在避雷針的保護范圍內, 所以山頂水箱受直擊雷的概率較小。
避雷針的作用是把雷電引向自身, 從而使保護區范圍內的被保護對象免遭直接雷擊。但避雷針的引雷作用也會增加保護區域雷擊概率, 只不過雷擊電流通過避雷針引入了地下, 保護范圍內的設備雷電流流過的概率大大減小。
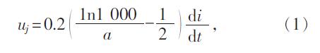
避雷針在把強大的雷擊電流引入地下的過程中, 由于雷電流陡度di/dt 的作用, 在其周圍金屬體內產生感應電壓, 即感應脈沖過電壓, 其影響范圍很大。如一個30 kA 的中等雷落在避雷針上所產生的感應脈沖過電壓為:

式中: a 為雷電流引線與被感應導體間的平行距離; di/dt=30/26≈11.5 kA/μs。30 kA 的雷擊在避雷針周圍導體上耦合出的感應脈沖過電壓值如表1 所示。

由表1 可以看出, 避雷針周圍500 m 范圍內的電子儀表設備都是感應雷破壞的對象, 并可計算出在液位測量系統的電纜上可能會感應出320~840 kV 脈沖過電壓(電纜長度以200 m 計算,與避雷針距離zui近以100 m、zui遠以300 m 計算), 這么高的電壓必定會損壞儀表。
2 電涌防護器原理
一套完整的電子設備防雷系統應建立三維防護體系, 即防直擊雷、防感應雷電波侵入、防雷電電磁感應、防地電位反擊以及操作引起的瞬間過電壓影響等。由于高位露天液位測量系統較小,所以只考慮雷電電磁脈沖對電源線路和信號線路的感應過電壓入侵, 并同時考慮等電位的連接。選用了菲尼克斯公司生產的3 種SPD(電涌保護器): 用于二次儀表220 V AC 電源的SPD 是PT 2-PE/S-230AC/FM, 其電路如圖1 所示; 用于二次儀表輸入信號的SPD 是PT 1×2-24DC, 其電路如圖2 所示; 用于現場變送器的SPD 是S-PTEX-24DC, 其電路如圖3 所示。
(1)圖1 電路由氣體放電管(粗保護)、壓敏電阻(細保護)、發光二極管、熔絲組成。IN 端接電涌電流來向, OUT 端接被保護設備, 端子L 和N 分別接1 對220 V 火線、零線。端子3 和4 端子任選1 個接地, 如果金屬導軌已接地, 此接地線可不接。端子11 和12 接1 對開關量報警回路。當電涌電流從IN 端進入SPD, 細保護壓敏電阻在25 ns 內啟動, 限制火線、零線之間出現過電壓。當火線或零線電壓抬升至940 V 以上時,粗保護氣體放電管在100 ns 內擊穿, 對地放電,可泄放10 kA(8/20 μs)電涌電流, 壓敏電阻限制電壓至1.1 kV, 泄放完成后各器件恢復常態。當

壓敏電阻損壞時, 熔絲熔斷, 發光二極管導通發出紅光, 提示更換, 同時, 端子11 和12 由常閉變常開, 提供開關量報警。
(2)圖2 電路由氣體放電管(粗保護)、退偶電阻、抑制二極管(細保護)組成。IN 端接電涌電流來向, OUT 端接被保護設備, 端子7 和11 接1對4~20 mA 和24 V 模擬量信號線, 對應的端子8 和12 接被保護設備。端子9 和10 接屏蔽層。
端子3 和4 任選1 個接地, 如果金屬導軌已接地, 此接地線可不接。端子9 和10 與3 和4 之間是1 個可選的氣體放電管, 作用是當系統要求將防雷保護地與測量系統的抗干擾地分開時, 既能在正常時提高測量系統的抗干擾能力, 又能在雷電發生時通過氣體放電管瞬間導通, 保證兩地的等電位要求。在正常工況時儀表信號線上的電壓為24 V DC, 抑制二極管動作, 不影響儀表正常工作, 當電涌電流從IN 端進入SPD, 2 根信號線產生大于40 V 差模電壓時, 細保護抑制二極管在1 ns 內導通, 使電壓鉗位在40 V, 防止差模電壓過大損壞二次儀表。當2 根信號線中的任1根對地電壓大于360 V 時, 粗保護氣體放電管在100 ns 內導通, 保證2 根信號線對地的共模電壓不大于360 V, 保護二次儀表不會由于共模電壓過高而被擊穿。電路中的退偶電阻起到升壓作用, 氣體放電管可泄放10 kA(8/20 μs)浪涌電流,抑制二極管可限制電壓至40 V, 泄放完成后各器件恢復常態。退偶電阻為2.2 Ω, 根據IEC 標準要求測試, 當退偶電阻為2.2 Ω 時, 粗細兩級保護的能量配合zui佳。

(3)圖3 電路由氣體放電管(粗保護)、抑制二極管(細保護)組成。端子BN 和BL 并接1 對4~20 mA, 24 V 模擬量信號線, 端子BK 接地。當電涌電流從線路進入SPD, 細保護抑制二極管在1 ns 內啟動, 實現瞬間等電位, 當電壓抬升至360 V 以上時, 粗保護氣體放電管在100 ns 內擊穿, 對地放電, 可泄放10 kA(8/20 μs)浪涌電流,抑制二極管可限制電壓至65 V, 泄放完成后各器件恢復常態。抑制二極管組成橋電路, 可降低回路電容。

該SPD 擰在變送器的1 只穿線孔上, 能保護變送器的1 對信號線, 變送器的外殼對地電位不大于360 V, 信號線之間電壓不大于65 V, 可有效防止雷電過電壓對變送器的損壞。
3 水箱液位計測量系統防雷的實施
山頂水箱液位計 測量接線如圖4 所示, 圖中接地點A 和B 連接在山頂水箱周圍為防雷要求新做的接地網上, 接地電阻小于10 Ω。此接地網未與儀表室內的接地網相連, 原因是兩地距離較遠, 施工不便; 當雷電感應時, 變送器內部元器件及周圍的水箱、地面電位同時升高, 不會造成變送器的損壞。若A 點和B 點與儀表室的地相連, 則兩點的電位差為零, 變送器內部元器件對變送器和外殼存在電位差, 電位差過大時將引起變送器損壞。儀表室內的接地點C, D, E 點及控制柜的外殼都接在同一個接地母排上。
由圖4 可知, 變送器側的SPD 與變送器的接線端子并聯, 當雷電沖擊電壓或沖擊電流超過保護值時, 能瞬間把雷電流引入地下, 保護設備對地電壓在低壓值, 從而不損壞變送器。

二次儀表與SPD 串聯接線, 當雷電沖擊電壓、沖擊電流沿電纜進入儀表室時, SPD 能瞬間把雷電流引入地下, 從而不會損壞二次儀表。當雷電沖擊電壓、沖擊電流沿220 V AC 供電電源入侵時, 電源側的SPD 能瞬間把雷電流引入地下, 從而保護儀表免遭損壞。
4 結語
本系統改造方案簡單, 并按防雷規范要求進行設計與施工, 取得了較好的防雷效果。
上一條:磁翻板液位計的產品特點及市場銷售情況特點總結
下一條:浮球液位計在蓄水池帶液狀態下的具體安裝方法介紹
用戶企業的生活用水系統設置有2 只水箱, 一只設置在汽機房的房頂, 標高45 m, 另一只設置在廠區的山坡上, 標高48 m。山頂水箱液位計 由裝在水箱上的投入式變送器進行測量, 變送器通過200 多米的鎧裝控制電纜與二次儀表聯接組成水位測量系統, 電纜未進行埋地敷設。每當雷雨天時, 山坡上的水箱液位計 變送器、綜合水泵房內的二次儀表常因雷擊而損壞, 采取鎧裝電纜鎧包接地、二次儀表接地等措施仍不能解決雷擊問題。

1 雷擊損壞原因分析
雷擊損壞儀表有2 種情況, 一種是直接雷擊到液位變送器或電纜上, 另一種是由于雷電電磁脈沖在測量系統的電纜上感應出高電壓而損壞測量系統。
山頂水箱雖然標高較高, 但不是在山的zui高點, 在離水箱100 多米處還有移動手機基站, 其標高高于水箱, 基站設有防直擊雷的避雷針, 水箱水位變送器在避雷針的保護范圍內, 所以山頂水箱受直擊雷的概率較小。
避雷針的作用是把雷電引向自身, 從而使保護區范圍內的被保護對象免遭直接雷擊。但避雷針的引雷作用也會增加保護區域雷擊概率, 只不過雷擊電流通過避雷針引入了地下, 保護范圍內的設備雷電流流過的概率大大減小。
避雷針在把強大的雷擊電流引入地下的過程中, 由于雷電流陡度di/dt 的作用, 在其周圍金屬體內產生感應電壓, 即感應脈沖過電壓, 其影響范圍很大。如一個30 kA 的中等雷落在避雷針上所產生的感應脈沖過電壓為:

式中: a 為雷電流引線與被感應導體間的平行距離; di/dt=30/26≈11.5 kA/μs。30 kA 的雷擊在避雷針周圍導體上耦合出的感應脈沖過電壓值如表1 所示。

由表1 可以看出, 避雷針周圍500 m 范圍內的電子儀表設備都是感應雷破壞的對象, 并可計算出在液位測量系統的電纜上可能會感應出320~840 kV 脈沖過電壓(電纜長度以200 m 計算,與避雷針距離zui近以100 m、zui遠以300 m 計算), 這么高的電壓必定會損壞儀表。
2 電涌防護器原理
一套完整的電子設備防雷系統應建立三維防護體系, 即防直擊雷、防感應雷電波侵入、防雷電電磁感應、防地電位反擊以及操作引起的瞬間過電壓影響等。由于高位露天液位測量系統較小,所以只考慮雷電電磁脈沖對電源線路和信號線路的感應過電壓入侵, 并同時考慮等電位的連接。選用了菲尼克斯公司生產的3 種SPD(電涌保護器): 用于二次儀表220 V AC 電源的SPD 是PT 2-PE/S-230AC/FM, 其電路如圖1 所示; 用于二次儀表輸入信號的SPD 是PT 1×2-24DC, 其電路如圖2 所示; 用于現場變送器的SPD 是S-PTEX-24DC, 其電路如圖3 所示。
(1)圖1 電路由氣體放電管(粗保護)、壓敏電阻(細保護)、發光二極管、熔絲組成。IN 端接電涌電流來向, OUT 端接被保護設備, 端子L 和N 分別接1 對220 V 火線、零線。端子3 和4 端子任選1 個接地, 如果金屬導軌已接地, 此接地線可不接。端子11 和12 接1 對開關量報警回路。當電涌電流從IN 端進入SPD, 細保護壓敏電阻在25 ns 內啟動, 限制火線、零線之間出現過電壓。當火線或零線電壓抬升至940 V 以上時,粗保護氣體放電管在100 ns 內擊穿, 對地放電,可泄放10 kA(8/20 μs)電涌電流, 壓敏電阻限制電壓至1.1 kV, 泄放完成后各器件恢復常態。當

壓敏電阻損壞時, 熔絲熔斷, 發光二極管導通發出紅光, 提示更換, 同時, 端子11 和12 由常閉變常開, 提供開關量報警。
(2)圖2 電路由氣體放電管(粗保護)、退偶電阻、抑制二極管(細保護)組成。IN 端接電涌電流來向, OUT 端接被保護設備, 端子7 和11 接1對4~20 mA 和24 V 模擬量信號線, 對應的端子8 和12 接被保護設備。端子9 和10 接屏蔽層。
端子3 和4 任選1 個接地, 如果金屬導軌已接地, 此接地線可不接。端子9 和10 與3 和4 之間是1 個可選的氣體放電管, 作用是當系統要求將防雷保護地與測量系統的抗干擾地分開時, 既能在正常時提高測量系統的抗干擾能力, 又能在雷電發生時通過氣體放電管瞬間導通, 保證兩地的等電位要求。在正常工況時儀表信號線上的電壓為24 V DC, 抑制二極管動作, 不影響儀表正常工作, 當電涌電流從IN 端進入SPD, 2 根信號線產生大于40 V 差模電壓時, 細保護抑制二極管在1 ns 內導通, 使電壓鉗位在40 V, 防止差模電壓過大損壞二次儀表。當2 根信號線中的任1根對地電壓大于360 V 時, 粗保護氣體放電管在100 ns 內導通, 保證2 根信號線對地的共模電壓不大于360 V, 保護二次儀表不會由于共模電壓過高而被擊穿。電路中的退偶電阻起到升壓作用, 氣體放電管可泄放10 kA(8/20 μs)浪涌電流,抑制二極管可限制電壓至40 V, 泄放完成后各器件恢復常態。退偶電阻為2.2 Ω, 根據IEC 標準要求測試, 當退偶電阻為2.2 Ω 時, 粗細兩級保護的能量配合zui佳。

(3)圖3 電路由氣體放電管(粗保護)、抑制二極管(細保護)組成。端子BN 和BL 并接1 對4~20 mA, 24 V 模擬量信號線, 端子BK 接地。當電涌電流從線路進入SPD, 細保護抑制二極管在1 ns 內啟動, 實現瞬間等電位, 當電壓抬升至360 V 以上時, 粗保護氣體放電管在100 ns 內擊穿, 對地放電, 可泄放10 kA(8/20 μs)浪涌電流,抑制二極管可限制電壓至65 V, 泄放完成后各器件恢復常態。抑制二極管組成橋電路, 可降低回路電容。

該SPD 擰在變送器的1 只穿線孔上, 能保護變送器的1 對信號線, 變送器的外殼對地電位不大于360 V, 信號線之間電壓不大于65 V, 可有效防止雷電過電壓對變送器的損壞。
3 水箱液位計測量系統防雷的實施
山頂水箱液位計 測量接線如圖4 所示, 圖中接地點A 和B 連接在山頂水箱周圍為防雷要求新做的接地網上, 接地電阻小于10 Ω。此接地網未與儀表室內的接地網相連, 原因是兩地距離較遠, 施工不便; 當雷電感應時, 變送器內部元器件及周圍的水箱、地面電位同時升高, 不會造成變送器的損壞。若A 點和B 點與儀表室的地相連, 則兩點的電位差為零, 變送器內部元器件對變送器和外殼存在電位差, 電位差過大時將引起變送器損壞。儀表室內的接地點C, D, E 點及控制柜的外殼都接在同一個接地母排上。
由圖4 可知, 變送器側的SPD 與變送器的接線端子并聯, 當雷電沖擊電壓或沖擊電流超過保護值時, 能瞬間把雷電流引入地下, 保護設備對地電壓在低壓值, 從而不損壞變送器。

二次儀表與SPD 串聯接線, 當雷電沖擊電壓、沖擊電流沿電纜進入儀表室時, SPD 能瞬間把雷電流引入地下, 從而不會損壞二次儀表。當雷電沖擊電壓、沖擊電流沿220 V AC 供電電源入侵時, 電源側的SPD 能瞬間把雷電流引入地下, 從而保護儀表免遭損壞。
4 結語
本系統改造方案簡單, 并按防雷規范要求進行設計與施工, 取得了較好的防雷效果。
上一條:磁翻板液位計的產品特點及市場銷售情況特點總結
下一條:浮球液位計在蓄水池帶液狀態下的具體安裝方法介紹
- 相關文章
-
- 80G 高頻雷達物位計液位計適用于泡沫和攪拌工況的原因分析 【2025-08-06】
- 80G高頻雷達液位計防腐防爆耐高溫的功能是如何實現的? 【2025-07-23】
- 高頻雷達液位計在石油行業液位測量應用中的優勢有哪些 【2025-07-17】
- 雷達液位計測量時如何有效規避攪拌葉片和泡沫的干擾? 【2025-07-07】
- 磁翻板液位計在冬季使用時的幾類保溫措施 【2019-11-30】
- 液位變送器簡寫是什么符號 【2023-12-29】
- 壓力變送器顯示液位超量 【2023-12-30】
- 液位變送器控制回路 【2023-12-28】
- 為什么測量弱酸性液體的液位要選用磁翻板液位計 【2016-06-28】
- 電纜式液位變送器定制 【2024-01-08】








