- 液位儀表系列
- 流量儀表系列
- 物位儀表系列
- 壓力/液位/差壓/密度變送器
- 液位/溫度/壓力/流量-報警儀
- PLC/DCS自動化控制監控系統
- GPRS無線遠傳裝置
- 物位儀表系列
- 有紙/無紙記錄儀系列
- 溫度儀表系列
- 分析儀|檢測儀|校驗儀系列
電話:86 0517-86917118
傳真:86 0517-86899586
銷售經理:1560-1403-222 (丁經理)
??? ? ? ? 139-1518-1149 (袁經理)
業務QQ:2942808253 / 762657048
網址:http://m.tiansocks.com
汽包差壓液位變送器產生測量誤差的原因分析及安裝要求
差壓液位變送器在監控鍋爐汽包液位中通常采用單室平衡容器和雙室平衡容器兩種安裝方式, 通過比較這兩種平衡容器的結構及原理, 結合實際生產經驗, 闡述了在電站鍋爐汽包液位測量中應使用單室平衡容器的原因。同時為了得到準確的實際液位值, 強調了在汽包液位測量中要結合密度補償的方法。
0、引言:
火電項目中, 鍋爐汽包液位是全廠非常重要的控制參數, 液位過高會導致蒸汽帶水進入過熱器, 并在過熱管內結垢影響傳熱效率;液位過低又將破壞部分水冷壁的水循環引起水冷壁局部過熱而爆管。設計上, 通常采用差壓式液位計和導波雷達液位計相結合來采集汽包液位遠傳信號。在開車調試及正常生產過程中, 經常發現差壓液位變送器數據不準確, 檢查取壓管也沒發現堵塞的現象。對于導致差壓液位變送器不準的原因, 該文從測量原理和安裝方式上分析和探討差壓變送器誤讀數的原因, 給出合理化的安裝建議。
1、液位計誤差的根本原因:
由于水物理性質的復雜性, 鍋爐汽包里水的密度是隨著溫度和汽包頂部蒸汽壓力的變化而不斷變化的。

圖1 汽包水位單室平衡容器測量系統原理圖
以圖1為例, 假設差壓變送器的安裝位置是在下管嘴附近, 那么上管嘴引出來的這根引壓管, 其豎直向下的豎管L里, 水的溫度應該只是環境溫度。則豎直引壓管里水的密度, 應該會比汽包里水的密度更大。如果正常工況下鍋爐里水的密度是800 kg·m-3, 并且假設差壓變送器設置2 m高度時液位為****輸出, 則2 m高度800 kg·m-3的鍋爐水產生的差壓為P=800×2×9.8, 但由于豎直引壓管暴露在環境中, 因此水溫接近環境溫度, 則水的密度為1000 kg·m-3, 那么, 當實際水位達到0.8×2=1.6 m時, 差壓變送器已經輸出20 m A。所以從分析得出, 引壓管內介質溫度、壓力的變化是導致測得液位總是偏高的原因。
2、安裝要求:
差壓式液位計的工作原理是在汽包水位取樣管上安裝平衡容器, 利用液體靜力學原理使水位轉換成差壓, 用引壓管將差壓信號送至差壓計, 由差壓計顯示汽包液位。現在常見的平衡容器有單室平衡容器、雙室平衡容器和帶蒸汽罩補償式平衡容器。中華人民共和國化工行業標準HG/T 21581—2010中使用單室平衡容器和雙室平衡容器兩種安裝方式。
2.1、單室平衡容器原理:
單室平衡容器結構簡單, 如圖1所示, 平衡容器水平管接汽包汽側取樣孔, 底部垂直管接差壓液位變送器正壓端;由汽包水側取樣孔引出的水平取樣管一端接差壓變送器負壓端, 一端與汽包水側連通。運行中蒸汽不斷進入平衡容器并被冷卻, 容器內液位高度保持恒定, 多余凝結水經連通管回到汽包。
2.2、雙室平衡容器原理:
雙室平衡容器原理如圖2所示。

圖2 雙室平衡容器原理
蒸汽在雙室平衡容器里冷凝, 釋放出潛熱, 使得雙室平衡容器里的溫度始終跟鍋爐汽包相差無幾, 這樣不但使得基準杯始終滿盈, 也使得基準杯下面這根豎直向下的引壓管管內水的溫度和密度, 和鍋爐內水的溫度密度非常接近。雙室平衡容器底部有一根不保溫的管子接到鍋爐底部的下降管, 平衡容器內的冷凝水由此不斷回流到鍋爐內。
2.3、電站鍋爐汽包水位安裝要求:
電力公司在2001年的第795號文發布的《電站鍋爐汽包水位測量系統配置、安裝和使用若干規定》中對差壓式水位測量裝置的安裝有如下規定:
1) 差壓式水位測量裝置的平衡容器應為單室平衡容器, 即直徑約100 mm的球體或球頭圓柱體 (容積為300~800 ml) , 容器前汽水側取樣管可有連通管。
2) 安裝汽水側取樣管時, 應保證管道的傾斜度不小于100∶1, 對于汽側取樣管應使取樣孔側低, 對于水側取樣管應使取樣孔側高 (見圖1) 。
3) 汽水側取樣管、取樣閥門和連通管均應良好保溫。平衡容器及容器下部形成參比水柱的管道不得保溫。引到差壓變送器的兩根管道應平行敷設共同保溫, 并根據需要采取防凍措施。
電力公司在組織對國內電站鍋爐汽包水位測量和水位保護運行調研后, 明確汽包液位安裝使用單室平衡容器, 分析原因主要是由于雙室平衡容器是保溫的, 容器內又不斷的有蒸汽冷凝釋放出潛熱, 這就導致基準杯和基準杯下面的那根豎直的取壓管里面的水溫度較高, 非常接近即將汽化的溫度。當鍋爐的蒸汽負荷加大時, 蒸汽被抽走, 鍋爐內的壓力下降, 基準杯和豎直取壓管內的水, 有可能沸騰, 變成蒸汽, 這就給取壓測量帶來明顯的誤差。
3、液位測量的密度補償:
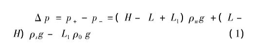
通過上述對汽包液位產生誤差的原因分析及電力公司具體的安裝要求, 解決傳統汽包液位測量偏差應主要通過對汽包液位進行密度補償來達到。目前成熟的DCS系統組態過程中, 利用折線表, 在不同的飽和水密度和飽和蒸汽密度對應不同壓力條件下, 對壓力進行自動補償。

式中:H為汽包液位, L為平衡容器的測量量程, L1為平衡容器負壓管接口至水側取壓管的距離, ρ0為變送器引壓管內的冷凝水密度, ρw為汽包內飽和水密度, ρs為汽包內飽和蒸汽的密度, g為常數。
可以看出, 平衡容器內轉換的壓差不僅與H有關, 還與ρ0, ρw和ρs有關。汽包內壓力的變化, 會引起飽和水和飽和蒸汽密度的變化從而產生測量誤差。
根據《飽和水和飽和蒸汽的熱力學基本參數表》, DCS組態中利用多段折線函數模塊, 擬合不同壓力下飽和水和飽和蒸汽的密度變化曲線, 代入式 (1) 中, 就能很好地實現平衡容器轉換的差壓Δp與水位H的單位函數關系, 從而準確地測量汽包液位。
在鍋爐汽包水位測量中使用***多的是差壓式液位計測量方式,盡管很多單位選用了高精度的差壓變送器(單晶硅差壓變送器,精度***高可以達到0.075級),但由于種種原因,在實際運行中其測量誤差常常較大,有時甚至誤差會達到20%-30%,所以往往造成操作人員的誤判,從而導致操作失誤,嚴重影響鍋爐的安全穩定運行。因此,找出汽包水位測量誤差產生的原因并盡量克服,具有重要的實際意義。
1、汽包水位差壓式液位計工作原理
差壓式液位計是將液位高低信號轉換成相應差壓信號來實現液位測量的儀器。它是由平衡容器(又稱液位-差壓轉換容器)、壓力信號導壓管及差壓變送器三部分組成的。液位信號*先由平衡容器轉換成差壓信號,然后差壓變送器測出差壓值的大小,并將液位信號轉換成電流信號,遠傳至控制室進行連續液位指示、記錄,并為水位三沖量調節系統提供液位信號。差壓變送器準確測量汽包水位的關鍵在于液位與差壓之間的準確轉換,這種轉換是通過平衡容器來實現的。
圖1 差壓式水位計與平衡容器
圖1所示為一種簡單的單室平衡容器,汽包的上連通管與單室平衡容器相接,容器的底部連接一導壓管(簡稱“正壓管”);汽包的下連通管直接與負壓管相接。由于汽包的飽和蒸汽在單室平衡容器內不斷地散熱凝結,容器內液面總是保持恒定,所以正壓管內水柱高度維持不變,而負壓管內水柱高度則隨汽包H變化而變化。因此,由正、負導壓管得到的差壓信號為:
△P=P+ - P-=Lρ1g -[Hρ′g+(L-H)ρ″g]=L(ρ1-ρ″)g-H(ρ′-ρ″)g
公式中,H為汽包水位高度;ρ1為平衡容器中水的密度;ρ′為汽包飽和水密度、ρ″為汽包內飽和蒸汽的密度;L為汽包上、下連通管間距離。由公式可知,平衡容器結構確定后(即L為已知常數),在汽包壓力維持恒定(ρ′、ρ″確定)以及ρ1一定的條件下,正、負導壓管的差壓輸出△P與汽包水位H呈單值函數關系。因此,若P+、P-接差壓變送器,就可根據所測出的差壓數值知道相應的液位值。
2、差壓式液位計測量誤差分析
由前面的公式可以看出,要想保持△p與H成單值線性關系,必須使ρ′、ρ″和ρ1為恒定值。但是汽包工作壓力變化以及環境溫度變化都會使ρ′、ρ″和ρ1產生變化,因而導致測量誤差。由此可見,密度變化是汽包水位測量產生誤差的主要原因,因此必須了解其變化規律,并采取相應的措施。飽和水及飽和蒸汽的狀態只取決于壓力(或溫度),當壓力(或溫度)波動時,汽包內飽和水及飽和蒸汽的密度也相應發生變化。當汽包壓力升高時,飽和水密度ρ′減小,飽和蒸汽密度ρ″增大。當上升到臨界壓力時,飽和水和飽和蒸汽的密度相同。由公式可知,汽包工作壓力變化時,主要是負壓頭[Hρ′g+(L-H)ρ″g]的變化使差壓△P發生改變。而ρ′與ρ″隨壓力變化的方向相反,因此負壓頭中的兩項變化可互相抵償。但因ρ′與ρ″的變化率不同,所以這兩項變化不能完全抵消,而且在液位H不同時,這兩項隨壓力變化的數值也不相同。
3、差壓式液位計誤差產生的原因及消除方法
本文以單室平衡容器安裝為例來分析產生誤差的原因,主要包括以下3種:安裝不規范或錯誤安裝、維護不及時或誤操作、工藝系統或工況改變。
3.1 安裝不規范或錯誤安裝
3.1.1 測壓點取的位置不合適一般來說測壓點不會搞錯。主要是上部單室平衡容器的進口必須與汽包上連通管在同一水平上,要嚴格按設計圖紙來安裝。安裝時還要注意測壓點是否有不潔物,如有要及時清理干凈,防止安裝后堵塞。
3.1.2 導壓管路安裝不規范
安裝導壓管路的主要目的是傳遞壓力,不規范安裝會造成正、負壓側產生附加誤差,從而產生測量誤差。
①導壓管路太短或太長。
根據一般技術規定,導壓管路應在3-50m之間,太短時測量波動大,太長則測量滯后;且在測量時應保證水平管線有1∶12的坡度,保證管道內充滿液體,以免產生測量誤差。消除方法是按照技術規定和設計來施工。
②導壓管路正、負側裝反。
從測壓點扯過導壓管往差壓變送器上裝時正、負側裝錯,等投用后出現問題還不容易查出原因,因為這點極易被忽視。導壓管與差壓變送器的連接請參閱《鍋爐水位平衡容器氣相管應連接差壓變送器的高壓室還是低壓室》技術文章。
③受熱不均勻或離熱源太近。
平衡容器及連接管安裝后,水側連通管應加保溫。但為使平衡容器內蒸汽凝結加快,汽側連通管與平衡容器上部都不應加保溫。
3.1.3 差壓變送器安裝不規范
差壓變送器安裝環境太差,如震動大、塵土大或者有強腐蝕介質。消除辦法就是按照有關技術規定選擇合適的位置來安裝差壓變送器,若屬特殊情況必須在此環境中安裝,則應按照現場實際情況采取防護措施,如增加防護箱或固定支架等。
3.2 維護不及時或誤操作
為了保證汽包水位計的長周期穩定運行,進行各種計量,就要求相關人員平時精心維護儀器。否則由于維護不及時或誤操作,都會引起測量誤差的產生。
3.2.1 導壓管三閥組堵或漏消除方法
按時巡檢,發現問題要及時處理,漏則用工具緊固,堵則排污清洗,用手壓泵或其他工具疏通,保證壓力的正常傳遞。
3.2.2 冷凝液由于誤操作流失消除方法
工作壓力較低的平衡容器(如凝汽器、除氧器等)安裝時,可在平衡容器頂部加裝水源管或灌水絲堵,以保證平衡容器內有充足的凝結水,并能較快地投入差壓式液位計。
3.2.3 差壓變送器的飄零消除方法
要定期校驗變送器的零點和量程。
3.3 工藝系統或工況改變
在高參數機組里,實際運行的參數隨時都在發生變化。當壓力發生變化時,ρ′、ρ″和ρ1也在發生變化。因此,液位的波動會比較大,從而給液位測量的準確度帶來比較大的影響。消除方法:在平衡容器和汽包之間加入一凝結水管,這樣可以使平衡容器內的水得到一定的緩沖,壓力與密度相對比較穩定,如圖2所示。
圖2 單室平衡容器與差壓變送安裝示意圖
4、結語:
明確了在今后的電站鍋爐建設中差壓式液位計的平衡容器應選擇單室平衡容器, 將汽包內不同壓力下的飽和水密度和飽和蒸汽密度引入DCS系統內, 對差壓式液位計進行密度補償, 就能得出實際的汽包液位, 以避免發生嚴重的汽包缺水、滿水事故。
①對于剛施工投用的液位計,其測量誤差產生的原因多是安裝不規范或錯誤安裝;
②對于長期使用的液位計,測量誤差產生的原因多是維護不及時或誤操作;
③對于技改后出現的測量誤差,多是系統或者工藝方面的原因。
上一條:雷達液位計*常見的誤差是由什么原因造成的
下一條:按照垃圾分類標準 報廢的儀器儀表應屬于什么垃圾
- 相關文章
-
- 80G 高頻雷達物位計液位計適用于泡沫和攪拌工況的原因分析 【2025-08-06】
- 80G高頻雷達液位計防腐防爆耐高溫的功能是如何實現的? 【2025-07-23】
- 高頻雷達液位計在石油行業液位測量應用中的優勢有哪些 【2025-07-17】
- 雷達液位計測量時如何有效規避攪拌葉片和泡沫的干擾? 【2025-07-07】
- 單法蘭液位變送器調零 【2024-01-01】
- 雙法蘭液位變送器測量液氨 【2024-01-08】
- 壓差式液位變送器安裝要求 【2024-01-02】
- 壓力變送器現場如何調整及檢定時注意事項 【2018-01-17】
- 液位變送器哪個品牌好一些 【2024-01-02】
- 電壓輸出壓力變送器 【2023-12-22】








